上海2021年高考成绩一分一段表发布

上海2021年高考成绩一分一段表发布
2021年06月23日 17:09 新浪教育 微博

  来源:上海市教育考试院

  2021年上海市普通高等学校秋季招生本科各批次录取控制分数线经审定公布如下:

批次

分数(3+3科目)

本科录取控制分数线

400

特殊类型招生控制分数线

503

艺术类本科文化控制分数线

300

体育类本科文化控制分数线

280

  (注:本市高考本科成绩满分为660分)

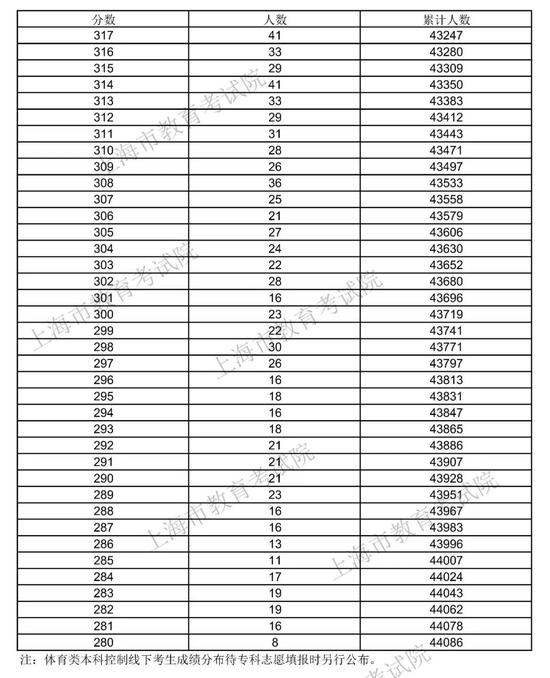
  为便于考生考后填报志愿,现公布如下成绩分布信息,供参考↓

大咖说

高清美图

精彩视频

品牌活动

公开课

博客

国内大学排行榜

国外大学排行榜

专题策划