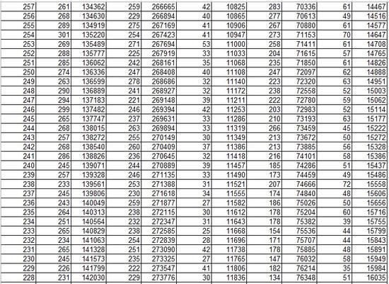
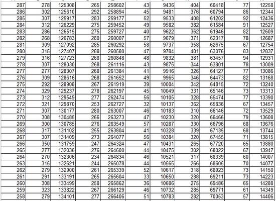
2016年山东高考总分成绩一分一段统计表(4)

2016年06月24日 17:10 新浪教育 微博
微博 微信 空间 分享 添加喜爱
高考微信号

高考志愿通(收录2595所大学、506个专业分数线信息、提供29省专家服务)

三步报志愿

1
专业定位
适合专业测评
37547人已测试
2
海选学校
录取可能性报告
70149人已测试

分数线查询

北京

  • 北京
  • 天津
  • 上海
  • 重庆
  • 河北
  • 河南
  • 山东
  • 山西
  • 安徽
  • 江西
  • 江苏
  • 浙江
  • 湖北
  • 湖南
  • 广东
  • 广西
  • 云南
  • 贵州
  • 四川
  • 陕西
  • 青海
  • 宁夏
  • 黑龙江
  • 吉林
  • 辽宁
  • 西藏
  • 新疆
  • 内蒙古
  • 海南
  • 福建
  • 甘肃
  • 港澳台

2015

  • 2015
  • 2014
  • 2013
  • 2012
  • 2011

北京

  • 北京
  • 天津
  • 上海
  • 重庆
  • 河北
  • 河南
  • 山东
  • 山西
  • 安徽
  • 江西
  • 江苏
  • 浙江
  • 湖北
  • 湖南
  • 广东
  • 广西
  • 云南
  • 贵州
  • 四川
  • 陕西
  • 青海
  • 宁夏
  • 黑龙江
  • 吉林
  • 辽宁
  • 西藏
  • 新疆
  • 内蒙古
  • 海南
  • 福建
  • 甘肃
  • 港澳台

理科

  • 文科
  • 理科

找专家报志愿

一对一服务
咨询电话:
01058983379
推荐阅读
聚焦
关闭评论
高清美图